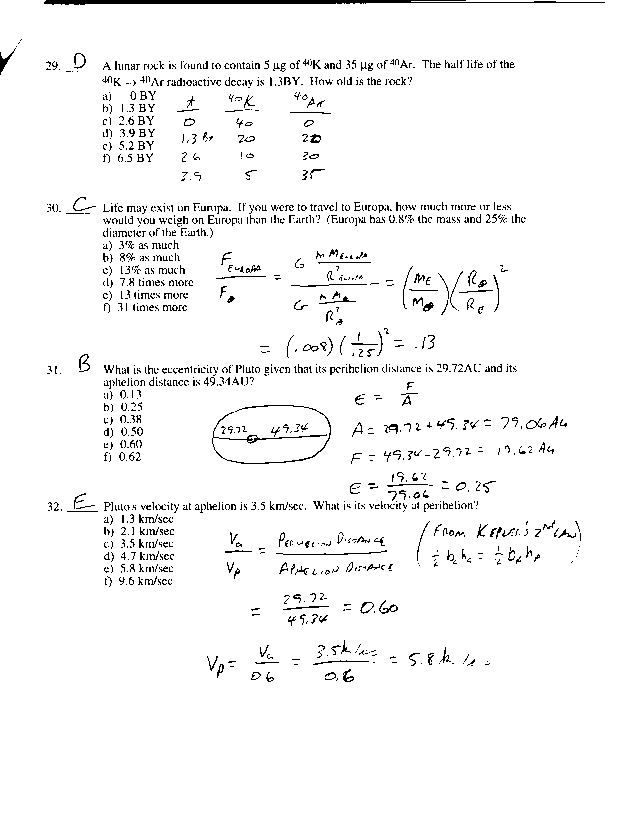
Midterm Solution Set (continued)

Next page